推荐资讯
Latest Information- 湿法激光粒度仪和干法激光粒度仪的区别 04-11
- 干法激光粒度仪的结构和原理 04-11
- Zeta电位及Zeta电位分析仪 04-10
- 激光粒度仪在锂电池正极材料粒度检测中的应用 04-10
- 提升锂电池能量密度的方法研究 04-10
- 激光粒度分析仪用于脂肪乳注射液粒度的研究 04-10
- 水泥密度测试方法研究 04-10
联系我们
Contact Us电话 : 15021562539
QQ : 619163093
邮箱 : sales@dwshanghai.com
网址 : //m.whmale.com
地址 : 上海嘉定区华江路348号B座226室
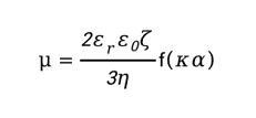
分散剂含量对Zeta电位的影响
- 编辑:
百特BETTERSIZE
时间: 2023-04-11 22:44 浏览量: 50
相关新闻
- 激光粒度仪的探测器如何维护以保证性能? 11-08
- 激光粒度仪的测量池如何清洗和维护 11-04
- Zeta电位分析:区分混合体系中的不同带电组分 11-01
- 激光粒度仪的测量环境条件有哪些要求? 10-28
- 激光粒度仪在操作过程中有哪些安全措施? 10-25
- 精细粒度控制,确保咖啡香醇体验 10-21
- 粉体粒度对其空隙率的影响分析 10-18
- 提升水泥生产效率与质量:粒度监测与控制的关键作用 10-14
- 丹东百特仪器公司BeNano 90 Zeta分析纳米黑炭黑粒径和Zeta电位 10-11
- 黑褐色胶体悬浮液粒径分析:BeNano 180 Zeta Pro的应用 10-07


沪公网安备31011402010444